Manajemen Keuangan adalah bidang studi yang mempelajari tentang pengalokasian sumber-sumber daya yang terbatas sepanjang waktu dalam lingkup bisnis perusahaan. cgkata.blogspot.com, Keputusan keuangan perusahaan meliputi penentuan keuntungan dan biaya yang tersebar sepanjang waktu, yang keduanya bersifat tidak pasti atau belum diketahui secara pasti sebelumnya. Topik utama dalam manajemen keuangan adalah bagaimana seorang manajer keuangan yang membuat suatu keputusan keuangan pada hari ini akan mempengaruhi hasil dan risiko yang akan diterima perusahaan di masa yang akan datang.
Keputusan-keputusan manajerial yang dibuat dalam suatu perusahaan sedikit banyak pasti melibatkan bagian keuangan perusahaan. Keputusan-keputusan tersebut paling tidak selalu melibatkan penentuan trade-off antara biaya dan keuntungan yang tersebar sepanjang waktu.
Contoh kasus: Arus Kas sebesar Rp 1.000.000 diinvestasikan pada waktu ke-0, dengan tingkat bunga 5% per tahun (dengan asumsi konstan setiap tahunnya), maka setelah 3 tahun diinvestasikan nilai kas akan berbeda dengan nilai kas awal.
Definisi beberapa istilah di artikel cgkata.blogspot.com;
Nilai uang saat ini atau Present Value (PV) akan menjadi nilai masa depan atau nilai waktu yang akan datang atau Future Value (FV). Hal ini karena kas tersebut diinvestasikan, mendapatkan bunga atau return, dan akhirnya mendapatkan lebih dari kas awal. Adapun Proses nilai sekarang (PV) menjadi nilai masa depan (FV) disebut Pemajemukan (Compounding) -->untuk Bunga Majemuk
Tabel Model perhitungan bunga:
CONTOH SOAL 1: Seorang Investor menginvestasikan sejumlah uangnya sebesar Rp 250.000.000 di salah satu perusahaan jasa transportasi, dengan tawaran bunga 11% per tahunnya, berapakah uang investor tersebut 2 tahun yang akan datang?
Bandingkan jika menggunakan model bunga sederhana dengan jika menggunakan model bunga majemuk
Tabel Jawaban Soal contoh perhitungan bunga:
Analisis jawaban soal diatas cgkata.blogspot.com
Dalam contoh periode dua tahun tersebut, jika kita menggunakan bunga sederhana, pada akhir tahun kedua kita akan memperoleh Rp 305.000.000, yang terdiri dari bunga (2 x 11% x Rp 250.000.000) = Rp 55.000.000 plus Rp 250.000.000 uang awal yang kita punyai.
Jika kita menggunakan bunga berganda/majemuk, kita akan memperoleh Rp 308.025.000, kelebihan 3.025.000 tersebut (dibandingkan dengan bunga sederhana) diperoleh dari bunga atas bunga tahun pertama yang ditanamkan kembali (Rp 27.500.000 x 11% = Rp 3.025.000).
CONTOH SOAL 2: Dalam contoh di atas, dengan model bunga majemuk, terjadi proses pengandaan. Proses penggandaan bisa dilakukan lebih dari sekali dalam setahun. Misalkan kita menginvestasikan pada awal tahun sebesar Rp 250.000.000, dengan tawaran bunga 11% per tahun. Dan digandakan setiap semester. Berapa nilai uang kita pada akhir tahun pertama dan kedua?
Jawaban contoh 2: Formula FVn = PV ( 1 + i )n bisa dituliskan sebagai berikut untuk memasukan penggandaan yang lebih dari sekali dalam setahun.
FVn = PV ( 1 + i/k )nxk
k = frekuensi penggandaan
Jika bunga digandakan setiap semesteran (2x penggandaan dalam satu tahun): FVn = PV ( 1 + i/2 )nx2
Jika bunga digandakan setiap triwulanan (3x penggandaan dalam satu tahun): FVn = PV ( 1 + i/3 )nx3
Jika bunga digandakan setiap kuartalan (4x penggandaan dalam satu tahun): FVn = PV ( 1 + i/4 )nx4
Jika bunga digandakan setiap bulanan (12x penggandaan dalam satu tahun): FVn = PV ( 1 + i/12 )nx12
ika bunga digandakan setiap hari (365x penggandaan dalam satu tahun, dengan asumsi 1 tahun = 365 hari): FVn = PV ( 1 + i/365 )nx365
Hanya perlu mengubah persamaan FVn = PV ( 1 + i )n Menjadi:
CONTOH SOAL 1: Perusahaan berencana membeli sebuah mesin baru 3 tahun yang dimana harga mesin tersebut diperkirakan sebesar Rp 17.700.000. Berapakah uang yang harus ditabungkan di bank saat ini supaya mendapatkan uang sebesar Rp 17.700.000 dengan tingkat bunga 9% per tahun, dan diasumsikan selama 3 tahun tersebut tingkat bunga konstan?
Untuk menghitung tingkat bunga silahkan lakukan cara dibawah cgkata.blogspot.com:
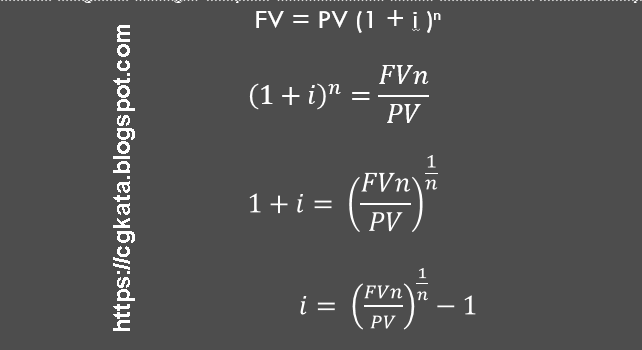
Mencari tingkat bunga dapat diturunkan dari formulasi sebelumnya
Silahkan latihan untuk soal berikut: Pak blog menginvestasikan uangnya di Perusahaan CGKATA sebesar Rp 2.500.000,- 10 tahun yang lalu. Tiba-tiba ia diberitahu pihak Perusahaan CGKATA bahwa uang Pak blog saat ini sebesar Rp 8.750.000. Berapakah tingkat bunga yang disepakati dalam investasi tersebut?
Silahkan tuliskan jawaban Anda dari latihan keuangan dalam investasi tersebut pada komentar cgkata.blogspot.com.
Keputusan-keputusan manajerial yang dibuat dalam suatu perusahaan sedikit banyak pasti melibatkan bagian keuangan perusahaan. Keputusan-keputusan tersebut paling tidak selalu melibatkan penentuan trade-off antara biaya dan keuntungan yang tersebar sepanjang waktu.
1. Garis Waktu
Langkah pertama dalam analisis nilai waktu uang adalah membuat suatu GARIS WAKTU (time line) yang akan membantu kita membayangkan apa yang sedang terjadi dalam permasalahan.Contoh kasus: Arus Kas sebesar Rp 1.000.000 diinvestasikan pada waktu ke-0, dengan tingkat bunga 5% per tahun (dengan asumsi konstan setiap tahunnya), maka setelah 3 tahun diinvestasikan nilai kas akan berbeda dengan nilai kas awal.
Definisi beberapa istilah di artikel cgkata.blogspot.com;
- PV (Singkatan dari Present Value), ini mendefinisikan Nilai sekarang atau jumlah awal (nilai uang awal)
- FVn(Singkatan dari Future Value), ini mendefinisikan Nilai masa depan atau jumlah akhir dari uang awal setelah periode n
- CFt (Singkatan dari Cash Flow), ini adalah Arus Kas. Arus kas dapat positif atau negatif. tmenunjukkan periode.
Jadi CF0 = PV = arus kas pada waktu ke-0
CF3 = arus kas pada akhir periode ke-3
- I = i = tingkat bunga per tahun
INT Singkatan dari interest), ini mendefinisikan bunga yang diterima sepanjang tahun dalam nilai rupiah. Formula: INT = jumlah awal x i
N = n = jumlah periode
2. Future value (Nilai masa depan)
Present value adalah cara perhitungan nilai uang pada masa sekarang yang akan diterima dalam beberapa periode yang akan datang.Nilai uang saat ini atau Present Value (PV) akan menjadi nilai masa depan atau nilai waktu yang akan datang atau Future Value (FV). Hal ini karena kas tersebut diinvestasikan, mendapatkan bunga atau return, dan akhirnya mendapatkan lebih dari kas awal. Adapun Proses nilai sekarang (PV) menjadi nilai masa depan (FV) disebut Pemajemukan (Compounding) -->untuk Bunga Majemuk
Cara Menghitung Nilai masa depan(FV)
Untuk mengitung nilai yang akan datang dapat dihitung berdasarkan 2 (dua) model perhitungan bunga, yakni:- Bunga Majemuk (Compound Interest)
- Bunga Sederhana (Simple Interest)
Tabel Model perhitungan bunga:
| Bunga Sederhana | Bunga Majemuk |
|
|
CONTOH SOAL 1: Seorang Investor menginvestasikan sejumlah uangnya sebesar Rp 250.000.000 di salah satu perusahaan jasa transportasi, dengan tawaran bunga 11% per tahunnya, berapakah uang investor tersebut 2 tahun yang akan datang?
Bandingkan jika menggunakan model bunga sederhana dengan jika menggunakan model bunga majemuk
Tabel Jawaban Soal contoh perhitungan bunga:
| Bunga Sederhana | Bunga Majemuk |
|
FVn = PV ( 1 + in ) FV2 = 250.000.000 (1+ (0,11x2)) FV2 = 305.000.000 Jadi uang investor tersebut 2 tahun yang akan datang dengan tingkat bunga 11% per tahun akan sebesar Rp 305.000.000 |
FVn = PV ( 1 + i )n FV2 = 250.000.000 (1 + 0,11)2 FV2 = 308.025.000 Jadi uang investor tersebut 2 tahun yang akan datang dengan tingkat bunga 11% per tahun akan sebesar Rp 308.025.000 |
Analisis jawaban soal diatas cgkata.blogspot.com
Dalam contoh periode dua tahun tersebut, jika kita menggunakan bunga sederhana, pada akhir tahun kedua kita akan memperoleh Rp 305.000.000, yang terdiri dari bunga (2 x 11% x Rp 250.000.000) = Rp 55.000.000 plus Rp 250.000.000 uang awal yang kita punyai.
Jika kita menggunakan bunga berganda/majemuk, kita akan memperoleh Rp 308.025.000, kelebihan 3.025.000 tersebut (dibandingkan dengan bunga sederhana) diperoleh dari bunga atas bunga tahun pertama yang ditanamkan kembali (Rp 27.500.000 x 11% = Rp 3.025.000).
CONTOH SOAL 2: Dalam contoh di atas, dengan model bunga majemuk, terjadi proses pengandaan. Proses penggandaan bisa dilakukan lebih dari sekali dalam setahun. Misalkan kita menginvestasikan pada awal tahun sebesar Rp 250.000.000, dengan tawaran bunga 11% per tahun. Dan digandakan setiap semester. Berapa nilai uang kita pada akhir tahun pertama dan kedua?
Jawaban contoh 2: Formula FVn = PV ( 1 + i )n bisa dituliskan sebagai berikut untuk memasukan penggandaan yang lebih dari sekali dalam setahun.
FVn = PV ( 1 + i/k )nxk
k = frekuensi penggandaan
Jika bunga digandakan setiap semesteran (2x penggandaan dalam satu tahun): FVn = PV ( 1 + i/2 )nx2
Jika bunga digandakan setiap triwulanan (3x penggandaan dalam satu tahun): FVn = PV ( 1 + i/3 )nx3
Jika bunga digandakan setiap kuartalan (4x penggandaan dalam satu tahun): FVn = PV ( 1 + i/4 )nx4
Jika bunga digandakan setiap bulanan (12x penggandaan dalam satu tahun): FVn = PV ( 1 + i/12 )nx12
ika bunga digandakan setiap hari (365x penggandaan dalam satu tahun, dengan asumsi 1 tahun = 365 hari): FVn = PV ( 1 + i/365 )nx365
3. Present value (nilai sekarang)
Mencari nilai sekarang merupakan kebalikan dari mencari nilai yang akan datang Mencari FV disebut Pemajemukan, sedangkan mencari PV (Present value) disebut Pendiskontoan (Discounting)Hanya perlu mengubah persamaan FVn = PV ( 1 + i )n Menjadi:
CONTOH SOAL 1: Perusahaan berencana membeli sebuah mesin baru 3 tahun yang dimana harga mesin tersebut diperkirakan sebesar Rp 17.700.000. Berapakah uang yang harus ditabungkan di bank saat ini supaya mendapatkan uang sebesar Rp 17.700.000 dengan tingkat bunga 9% per tahun, dan diasumsikan selama 3 tahun tersebut tingkat bunga konstan?
Untuk menghitung tingkat bunga silahkan lakukan cara dibawah cgkata.blogspot.com:
Mencari tingkat bunga dapat diturunkan dari formulasi sebelumnya
Baca:
Silahkan latihan untuk soal berikut: Pak blog menginvestasikan uangnya di Perusahaan CGKATA sebesar Rp 2.500.000,- 10 tahun yang lalu. Tiba-tiba ia diberitahu pihak Perusahaan CGKATA bahwa uang Pak blog saat ini sebesar Rp 8.750.000. Berapakah tingkat bunga yang disepakati dalam investasi tersebut?
Silahkan tuliskan jawaban Anda dari latihan keuangan dalam investasi tersebut pada komentar cgkata.blogspot.com.




Posting Komentar untuk "MANAJEMEN KEUANGAN: NILAI WAKTU DAN UANG"